Eastman cellulose acetate ca-398-10 nfep 15490. 172180 - Stannous chloride.
Coco-CaprylateCaprate C12-15 Alkyl Benzoate Polyethylene Ethylhexyl Palmitate Octyldodecanol Sucrose Acetate Isobutyrate Silica Candelilla Cera Euphorbia Cerifera Candelilla Wax Cire de candelilla Aluminum Starch Octenylsuccinate Octyldodecyl Neopentanoate Lecithin Squalane Lauroyl Lysine Hydrolyzed Hyaluronic Acid Tocopherol Tetrahexyldecyl Ascorbate Pentaerythrityl Tetra.
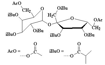
What is sucrose acetate isobutyrate used for. Isobutyric acid also known as 2-methylpropanoic acid or isobutanoic acid is a carboxylic acid with structural formula CH 3 2 CHCOOHIt is an isomer of n-butyric acidIt is classified as a short-chain fatty acidDeprotonation or esterification gives derivatives called isobutyrates. Isobutyric acid is a colorless liquid with a somewhat unpleasant odor. Synthetic flavoring substances and adjuvants may be safely used in food in accordance with the following conditions.
A They are used in the minimum quantity required to produce their intended effect and otherwise in accordance with all the principles of good manufacturing practice. B They consist of one or more of the following used alone or in combination with flavoring substances. But when you look at the ingredient list you see 12 ingredients including the artificial sweetener Sucralose and sucrose acetate isobutyrate a thickening or weighting agent also found in printing inks.
MiO Liquid Water Enhancer. The second ingredient in these little bottles is propylene glycol a preservative thickening agent and stabilizer also used as antifreeze to de-ice. In order to quantify the concentration acetate C2 59 propionate C3 73 and butyrate and isobutyrate C4 87 in SPF GF and sDMDMm2 mice 10 μL of each mouse blood serum sample was transferred to four eppis.
Afterward 90 μL of ACN was added with serial dilution 4 levels of standards. Used in many flavors such as cherry peach raspberry grapefruit red apple plum lime orange lemon watermelon pineapple and blueberry flavors. Geraniol Extra 98 as Geraniol Biobased 100.
Mild and sweet floral Rose-type Used in all types of fragrances especially rose accords and with other florals. This is the list of 599 additives in tobacco cigarettes submitted to the United States Department of Health and Human Services in April 1994. It applies as documented only to American manufactured cigarettes intended for distribution within the United States by the listed companies.
Mace Powder Extract and Oil Magnesium Carbonate Malic Acid Malt and Malt Extract Maltodextrin Maltol Maltyl Isobutyrate Mandarin Oil Maple Syrup and Concentrate Mate Leaf Absolute and Oil para-Mentha-8-Thiol-3-One Menthol Menthone Menthyl Acetate dl-Methionine Methoprene 2-Methoxy-4-Methylphenol 2-Methoxy-4-Vinylphenol para-Methoxybenzaldehyde 1-para. Ethyl acetate butyl acetate nitrocellulose adipic acidneopentyl glycoltrimellitic anhydride copolymer acetyl tributyl citrate alcohol stearalkonium bentonite isopropyl alcohol trimethylsiloxysilicate phosphoric acid benzoguanamine capryliccapric triglyceride sucrose acetate isobutyrate chlorophyllin-copper complex brassica oleracea acephala kale leaf extract diacetone. 172177 - Sodium nitrite used in processing smoked chub.
172180 - Stannous chloride. 172833 - Sucrose acetate isobutyrate SAIB. 172834 - Ethoxylated mono- and diglycerides.
172836 - Polysorbate 60. 172838 - Polysorbate 65. 172840 - Polysorbate 80.
172841 - Polydextrose. 172842 - Sorbitan monostearate. 172844 - Calcium stearoyl-2-lactylate.
Emulsifiers Stabilisers Thickeners and Gelling Agents. Glycerol esters of wood rosins. Emulsifiers Stabilisers Thickeners and Gelling Agents.
E450 a-c Sodium and Potassium Phosphate salts. Synthetically prepared emulsifiers stabilisers and humectants. Added to meat products bread sausages and cheese products such as cheese spread.
Les Nus by Colour Riche. 12 intense flattering nudes with comfortable wear and color that lasts all day. Part of the House of Audacity - go bold with vivid nude color.
We are a leading supplier to the global Life Science industry with solutions and services for research biotechnology development and production and pharmaceutical drug therapy development and production. Butyl Acetate Ethyl Acetate Nitrocellulose Acetyl Tributyl Citrate Adipic Acid Neopentyl Glycol Trimellitic Anhydride Copolymer Isopropyl Alcohol Adipic Acid Fumaric Acid Tricyclodecane Dimethanol Copolymer Stearalkonium Hectorite Sucrose Acetate Isobutyrate Trimethyl Pentanyl Diisobutyrate Stearalkonium Bentonite Diacetone Alcohol Citric Acid Kaolin Dimethicone. Avoid any electrolyte drinks that use sucrose fructose crystalline fructose sucralose high fructose corn syrup or acesulfame K.
Stevia or Lo Han Guo are acceptable. In the NIH-AARP Diet and Health study of 435674 subjects looking at the amount of sucrose fructose added sugars added sucrose and added fructose in the diet over 72 years found that added sugars were positively. An easy way to quickly purchase products used often.
Search for safety data sheets SDS and certificates COACOO by product number. New Lab and Research Programs. Designed to meet all your research needs.
Stocking Centers New Lab Start-up and Core Programs. We are trusted worldwide for innovative solutions in CRISPRCas9 products and. Coco-CaprylateCaprate C12-15 Alkyl Benzoate Polyethylene Ethylhexyl Palmitate Octyldodecanol Sucrose Acetate Isobutyrate Silica Candelilla Cera Euphorbia Cerifera Candelilla Wax Cire de candelilla Aluminum Starch Octenylsuccinate Octyldodecyl Neopentanoate Lecithin Squalane Lauroyl Lysine Hydrolyzed Hyaluronic Acid Tocopherol Tetrahexyldecyl Ascorbate Pentaerythrityl Tetra.
Pharmaceutical grade saib sucrose acetate isobutyrate 29358. Thermal transfer ribbon ht17. C-a-ptm cellulose ester nf cellacefate 9323.
Eastman cellulose acetate ca-398-10 nfep 15490. Eastman chemical co. Cellulose acetate butyrate cab-171-15 pharmaceutical grade.
For example brominated vegetable oil and sucrose acetate isobutyrate are additives that are permitted solely in flavours for use in citrus-flavoured and spruce-flavoured beverages and their maximum level of use is based on their concentration in the beverage as consumed. These additives are density adjusting agents and will have an effect on the final beverage. As these additives keep the.
Water High Fructose Corn Syrup Less than 05 of Citric Acid Salt Magnesium Chloride Calcium Chloride Monopotassium Phosphate Natural Flors Modified Food Starch Calcium Disodium EDTA to protect color Medium Chain Triglycerides Sucrose Acetate. Flavor-free powder can be used in cooking. Dissolves completely in beverages not recommended for carbonated beverages and soft foods.
Benefiber Orange also conatains Wheat dextrin citric acid natural orange flavor potassium citrate aspartame gum acacia acesulfame potassium maltodextrin lactose milk triglycerides sucrose acetate isobutyrate adds a. Ethyl Acetate Butyl Acetate Nitrocellulose Adipic AcidNeopentyl GlycolTrimellitic Anhydride Copolymer Isopropyl Alcohol Sucrose Acetate Isobutyrate HEAIPDI Isocyanurate TrimerPolycaprolactone Diol Copolymer Glycolic Acid AHA TRIS-HEA IPDI Isocyanurate Trimer N-Butyl Alcohol Etocrylene Hexanal Malic Acid AHA Lactic Acid AHA Trimethylpentanediyl Dibenzoate. Glycerol esters of wood rosins.
Ethyl methyl cellulose. Carboxy methyl cellulose Sodium carboxy methyl cellulose. Without prejudice to paragraph 1 the presence of a food additive used as a sweetener shall be permitted in a compound food with no added sugars in an energy-reduced compound food in compound dietary foods intended for low-calorie diets in non-cariogenic compound foods and in a compound food with an increased shelf-life provided that the sweetener is permitted in one of the.
Used as a solvent and vehicle for food dressings and flavourings. Antimicrobial agent eg for pizza crusts prior to baking. Extraction solvent for foodstuffs.
Widely distributed in fruits and other foods Ethanol is a volatile flammable colorless liquid. It is a powerful psychoactive drug and one of the oldest recreational drugs. Best known as the type of alcohol found in alcoholic beverages.
Huda Beauty Berry Juicy 03 GloWish Cheeky Vegan Blush Powder 2100 for 008 oz is a darker reddish-berry with subtle cool undertones and a satin finish. It had semi-opaque buildable pigmentation which was more than marketed though a lighter hand could be used readily as the texture wasnt powdery at all so it wasnt overly yielding or hard to control the pick-up of product.